Follow Us:
Jinan Winner Particle Instrument Stock Co., Ltd.
ExhibitionTechnical ArticlesCompany News
Home / News
How does a laser particle size analyzer detect the particle size distribution of toner?
Method for testing modified calcium carbonate with laser particle size analyzer
How is the particle size distribution of colored pigments measured?
Jinan Winner won the title of
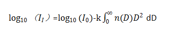
Principle of particle size testing by sedimentation method—Stokes’ law(2)
CONTACT US
GET IN TOUCH

Copyright © Jinan Winner Particle Instrument Stock Co., Ltd. All Rights Reserved | Sitemap  

ORDER NOW!