This is Stokes' law in the centrifugal state. where ω is the angular velocity of the centrifuge, and r is the distance from the particle to the axis. Due to the high speed of the centrifuge, ω2r is much greater than the acceleration of gravity g, so the sedimentation velocity Vc of the same particle under centrifugation will be much greater than the sedimentation velocity V under gravity. This is why centrifugal sedimentation can shorten the test time.
It can be seen from Stokes' law that as long as the sedimentation velocity of the particle is measured, the particle size of the particle can be obtained.
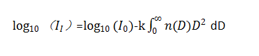
However, in the actual particle size measurement process, there are many particles in the liquid with different sizes, so it is difficult to directly measure the sedimentation velocity of each particle. Therefore, the change rate of the light intensity passing through the suspension with time is used to indirectly reflect the particles. The settling speed. The quantitative relationship between light intensity and particle size can be described by Beer's law:

Through Beer's law, we can obtain the particle size distribution by measuring the light intensity at different times to obtain the rate of change of light intensity.
Copyright © Jinan Winner Particle Instrument Stock Co., Ltd. All Rights Reserved | Sitemap
Keywords:
Laser Particle Size Analyzer Spray Particle Size Analyzer Particle Image System Online Particle Size Analyzer Particle Size Analyzer particle size distribution particle size analyzer manufacturer Laser diffraction particle size analyzer particle size malvern particle size analyzer