Follow Us:
Jinan Winner Particle Instrument Stock Co., Ltd.
ExhibitionTechnical ArticlesCompany News
Home / News
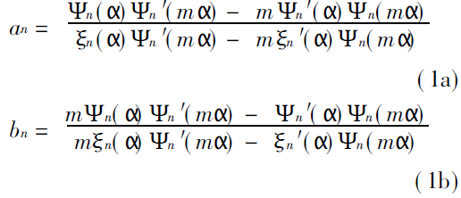
New algorithm for Mie scattering coefficient (2)
New algorithm for Mie scattering coefficient (1)
Application of laser particle size analyzer in barium titanate particle size detection(2)
Application of laser particle size analyzer in barium titanate particle size detection (1))
Application of laser particle size analyzer in polytetrafluoroethylene particle size detection
CONTACT US
GET IN TOUCH

Copyright © Jinan Winner Particle Instrument Stock Co., Ltd. All Rights Reserved | Sitemap  

ORDER NOW!